
DNA and RNA are some of the most important polymers in the natural world, as they are the building blocks that make up every living thing. In eukaryotes (animal cells) and prokaryotes (bacterial cells) our genetic information is made up of DNA, though we use RNA to translate this information into useful proteins. In contrast, some viruses can be made entirely of RNA – making them very different in how they live and replicate. In many ways, viruses are the zombies of the world!
Differences between RNA and DNA:

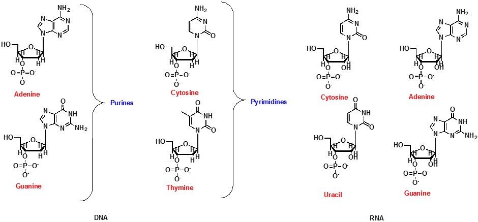
DNA chains are made up of a phosphate ion of one nucleotide covalently linked to the 2-deoxyribose of the next nucleotide. Each 2-deoxyribose is further linked to one of four bases shown above. When in a double helix, these bases are linked together through hydrogen bonding (A links to T with 2 hydrogen bonds, while C links to G with 3 hydrogen bonds).
When DNA forms a double helix, this can form a few different shapes, including B DNA (the most common form with a helix diameter of 20 Å), A DNA and Z DNA. A DNA is a rare structural conformation of double-helix DNA that occurs in dehydrated conditions, causing the helix diameter to be wider and flatter (26 Å). Z DNA is different in that it is a left-handed conformation and winds in a zig-zag pattern with a helical diameter of 18 Å.
RNA on the other hand is made of ribose sugars (these contain an extra oxygen at the 2’ position) but in most cases the bases are the same. However, RNA uses uracil instead of thymine, which lacks a methyl substituent in the 5’ position. Uracil is much less energetically expensive to produce, which could be why the base is used preferentially in RNA.
RNA can only exist in the single-stranded form too as the additional hydroxyl interrupts the placement of the sugars in the backbone. Therefore, the secondary structures of the RNA strands are limited to single-strand shapes, including hairpin loops where there are regions of self-complementary bases in the strand.
How is a single-stranded RNA virus different to a DNA cell?
For animal cells, replication occurs either through mitosis or meiosis, showing the replication of DNA as these polymers hold all of our genetic information. RNA is used to transfer the information of the coding DNA to the ribosome for the formation of proteins. Messenger RNA (mRNA) is the short polynucleotide chain responsible for doing this.
RNA viruses on the other hand are made entirely of RNA and are acellular, meaning that they do not live on their own. The most important thing to remember about viruses is that they require a host to survive. The RNA in these types of virus exist in a capsid protein shell and reproduce by infecting a host cell and reprogramming their ribosomes to create more viral proteins instead of the host proteins.
The lifecycle of a virus uses the host cell to replicate genetic material encoded within itself but is clever enough to use nucleotides sourced from the host! The copying of the virus’ genome, however, must be encoded by their own enzymes – though these enzymes can be made by the host cell for the virus.


This work is licensed under a Creative Commons Attribution 4.0 International License.