Download a printable version of this page here.
1. What does toxic mean?
You might think of something toxic as being something that would kill you. But the definition of a toxin is…
“…any substance that can cause severe injury or death as a result of a physicochemical interaction with living tissue.”
So a toxin is something that can injure or kill a living organism.
2. The dose makes the poison
- Many vitamins are toxic at high doses
- Many essential trace elements are also toxic
- Even water can be toxic if you drink enough!
3. Routes of exposure
There are many ways that toxic chemicals can enter the body. A chemical can only cause harm if it reaches target area at a high enough concentration for a long enough time. The level of injury depends on:
- Chemical properties
- Nature of exposure
- Health and developmental state of the living organism
The three main ways that chemicals can enter the body are:
i) Skin (dermal) absorption
Some chemicals can penetrate healthy, intact skin
e.g. Aniline, HCN, nitrobenzene, organophosphates, phenol, DMSO
This is the reason that we wear gloves when handling certain chemicals. But it’s important to note that there are different types of gloves and in a chemical laboratory you should always consult a glove chart.
ii) Inhalation

We can inhale gases and vapours, but it’s also possible to be exposed to a toxin by inhaling solid particles. This depends on the particle size but smaller particles go further into the lungs.
How can those solid particles cause harm to the body?
- Particles further up can end up being swallowed (enter body via digestive tract)
- Solids may dissolve in lung fluids
- Fibrosis e.g. coal or silica dust
iii) Ingestion
Ingestion is not so much of a concern in the chemical laboratory if you stick to safety rules.
It’s more of a concern in global public health. For example, naturally occurring arsenic in water supplies around the world can cause long-term chronic health problems.
4. Adverse effects – what might a toxin do?
Toxic chemicals can do a lot of things to a living organism. This can include causing death, harm to the immune system (e.g. triggering allergies), nervous system damage and mutations/cancers.
There are different types of adverse effects and we can classify them as follows:
LOCAL (only at site of exposure), or SYSTEMIC (whole body)

If you spill some concentrated hydrochloric acid on your hand and get a burn, that’s an example of a local effect. A systemic effect is something that affects your entire body. For example, tetraethyl lead (which was once added to petrol/gasoline) affects the entire nervous system.
Adverse effects can also be:
REVERSIBLE or IRREVERSIBLE

For example, the liver can heal itself after exposure to certain chemicals. However, once the nervous system has been exposed to tetraethyl lead, it is permanently damaged.
A final way to classify adverse effects is that they can be:
IMMEDIATE or DELAYED

For example, if you spill that concentrated hydrochloric acid on your hand, the immediate response is “OW”!
In contrast, some effects can be delayed by hours, or even years. One example is that of diethystilbestrol (the molecule shown above). Mothers who suffered from recurrent miscarriage were given this medicine and decades later, cancers were produced in their female children. The foetus was exposed to the molecule, but the toxic effect was not observed for many years.
5. Chemical Interactions
Sometimes you must consider the effect of 2 or more chemicals together on the body. Living organisms are incredibly complex and are exposed to a lot of different things from their environments. Chemical interactions can be:
i. Additive
This is where the effects just add together. You get the toxic effect of both chemicals and there is no interaction.
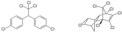
An example is the organochlorine pesticides shown below. If you are exposed to both, you get the toxic effects of both.

ii. Synergistic
This is where the total toxic effect is more than just the sum of the two individual toxic effects. Numerically, you could represent this as 1+1 = 4.
For example, cigarette smoke and asbestos fibres act together to increase the risk of lung cancer by a factor of 40. This is well beyond the risk from individual exposures.
iii. Antagonistic
This is where one chemical counteracts the other. Numerically, you could think of this as 1+1 = 0.
This is the basis of many antidotes for poisoning. For example, ethanol can antagonize the toxic effects of methanol by displacing it from the enzyme that oxidizes the methanol.
iv. Potentiation
Potentiation is where one harmless chemical makes another one much worse. Numerically, you could think of it as 0 + 1 = 5.
An example is carbon tetrachloride. On its own it is harmful to the liver. But if you add (normally harmless isopropanol), the damage to the liver is increased.
Image attributions
Aram Dulyan from Wikimedia Commons, www.clipart-library.com, Clker-Free-Vector-Images from www.pixabay.com, Gordon Johnson from www.pixabay.com, Openclipart-vectors from www.pixabay.com, Elionas2 from www.pixabay.com, Emilian Robert Vicol from www.pixabay.com, Medical png from www.pngtree.com, Creative png from www.pngtree.com
References
Fundamental Toxicology: Edition 2, Ed. J. Duffus and H. Worth, Royal Society of Chemistry, 2006
This work is licensed under a Creative Commons Attribution 4.0 International License.
